韦达定理的十种变形及六种应用
韦达定理的十种变形及六种应用
我们先看一下人教版教材中对于《一元二次方程的根与系数的关系》进行的总结和阐述:


1、由第一个思考,我们得到一个非常重要的结论:
韦达定理并不是由求根公式推导出来的,而是根据多项式恒等定理推导出来的。
2、用韦达定理求一元二次方程的根的核心思想是:将原方程转化为关于x1、x2的二元一次方程组,属于典型的降次思想。
3、关键点则是:求得x1+x2和x1-x2的值,再联立并解方程组得到原方程的两个根。
拓展:如果x1、x2是方程的ax2+bx+c=0两个实根,那么|x1-x2|的代数意义是√△/a,几何意义是二次函数y=ax2+bx+c图像的x轴截距(即二次函数与x轴两个交点之间的距离)。
4、由于韦达定理只提供了两根的和与积两种形式,我们需要利用完全平方公式的恒等变形,得到两根之差的值,才可以建立方程组求解。
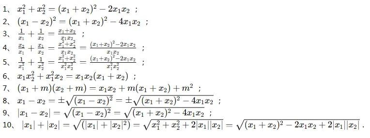
5、其实我们在解一元二次方程含根问题时,需要面对两根差或根的高次幂等现实问题,因此一定要熟悉以下10种常见的变形公式:

同时韦达定理所涉及的题型有以下六种:
1、已知方程的一个根,求方程的另一个根及未知系数
2、已知方程的两根,求一元二次方程的解析式。
3、不解方程,利用根与系数的关系检验两个数是否是一元二次方程的两个根。
4、不解方程,利用根与系数的关系,求关于两根的代数式的值。要用到上面10中韦达定理的变形。
5、已知一元二次方程两根满足某种关系,确定方程中字母的值或范围。
6、利用根与系数的关系,讨论根的符号。
-
- 全国象棋“鹏程杯”排位赛第一轮战罢,小将爆冷门,王天一再胜
-
2026-04-02 22:41:58
-
- 南宁这些美食街你去过几条?
-
2026-04-02 22:39:44
-
- 龙狮后备人才输出基地签约挂牌北师大广州实验学校
-
2026-04-02 22:37:30
-
- 井柏然何炅为啥那么好,井柏然与何炅是在一起了吗?
-
2026-04-02 22:35:15
-
- ChinaJoy2016视频直播地址大全 带你玩转整个会场
-
2026-04-02 22:33:01
-
- “自身难保”的“泥菩萨”,还能“普渡众生”吗
-
2026-04-02 22:30:47
-
- 企业所得税年度汇算清缴报表填写说明,共19张!直接照着填就行
-
2026-04-02 15:03:14
-
- 黑龙江哈绥高速发生多车连撞事故(图)
-
2026-04-02 15:00:59
-
- 广东警官学院近3年录取分数线汇总!96%毕业生上岸政府机关
-
2026-04-02 14:58:45
-
- 都知道腊月二十三要送灶,那你知道送灶的传统是如何流传下来的吗
-
2026-04-02 14:56:31
-
- 大战一触即发!美情报局称伊朗可能在24小时内发起袭击!
-
2026-04-02 14:54:17
-
- 2019沈阳新年音乐会激情奏响
-
2026-04-02 14:52:02
-
- 53度500ml茅台王子酒价格:53度500ml茅台王子酒最新价格多少钱?
-
2026-04-02 14:49:48
-
- “小南瓜”Behati Prinsloo演绎Lancaster 2015春季包袋广告大片!
-
2026-04-02 14:47:34
-
- 中航电测重组七连板,它会超过中航黑豹和西仪股份重组时的高度吗
-
2026-04-02 14:45:19
-
- 中国最为著名的一条沟——鸿沟
-
2026-04-02 14:43:05
-
- 震撼 1 0人当场被捕警方扫黄细节披露 前台呼叫444 按下开关通风报信
-
2026-04-02 07:15:31
-
- 文字壁纸 | 人间清醒,搞钱要紧
-
2026-04-02 07:13:17
-
- 去北京颐和园游玩最省时省力路线
-
2026-04-02 07:11:03
-
- 南京市12个市辖区(含江北新区)2023年常住人口数据及城镇
-
2026-04-02 07:08:49



适合60-80岁老人代步的4种电动车,不限年龄又能上路
陈三废,从一无所有到身家数十亿的逆袭,这样的人生,你也可以!