七年级数学计算700题集锦(有答案)
七年级数学计算700题集锦(有答案)
7年级数学计算700题集锦(中)
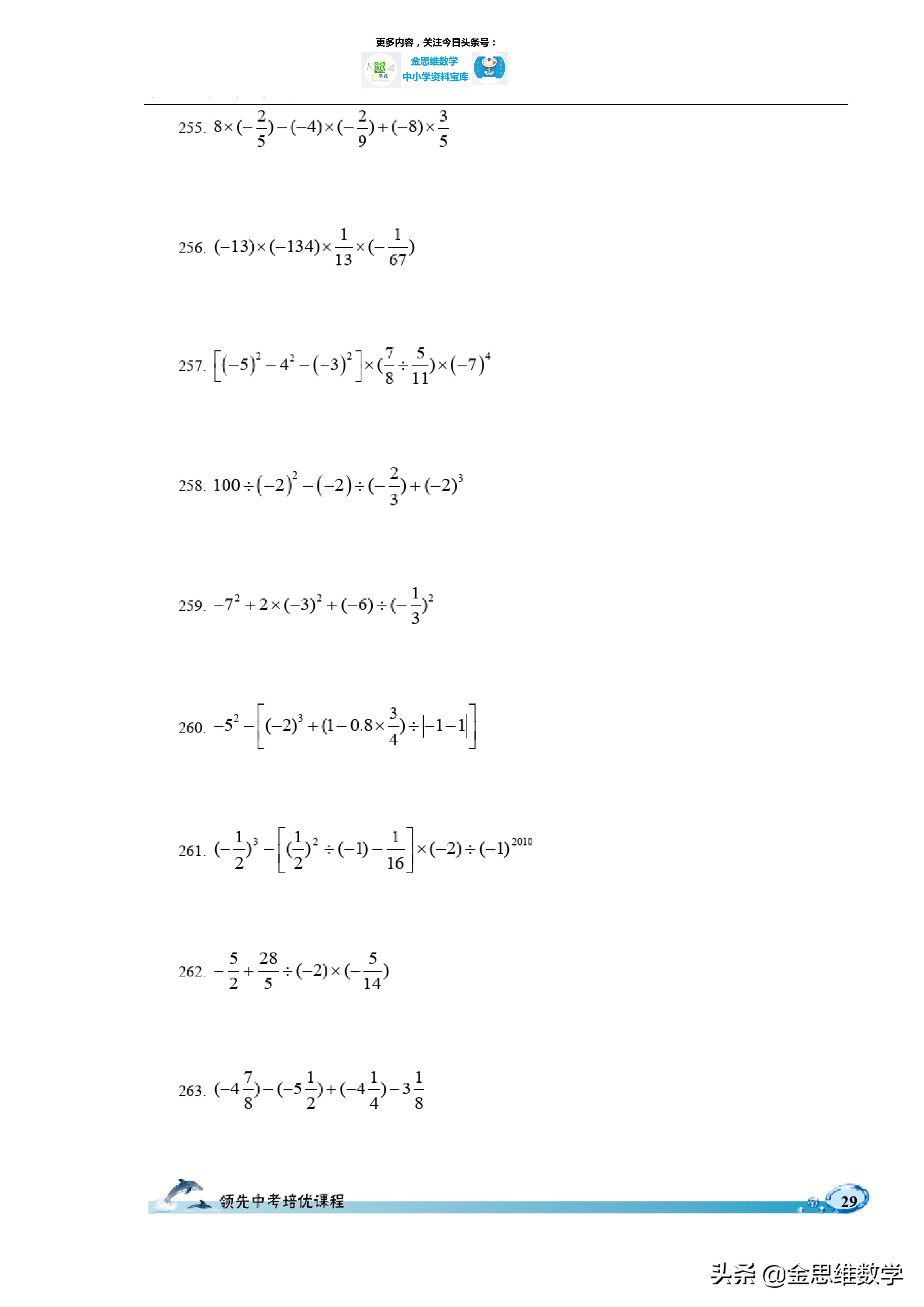
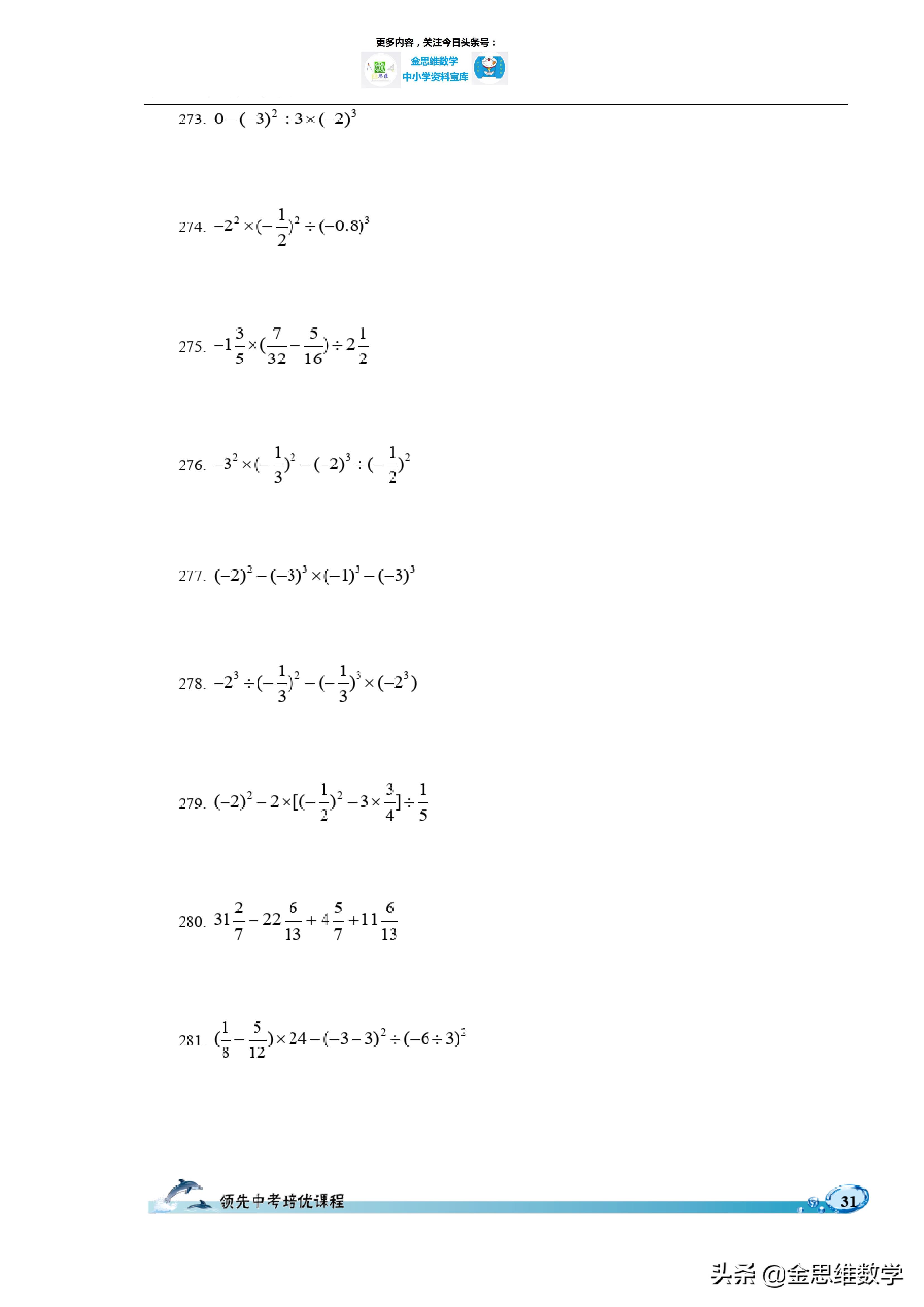
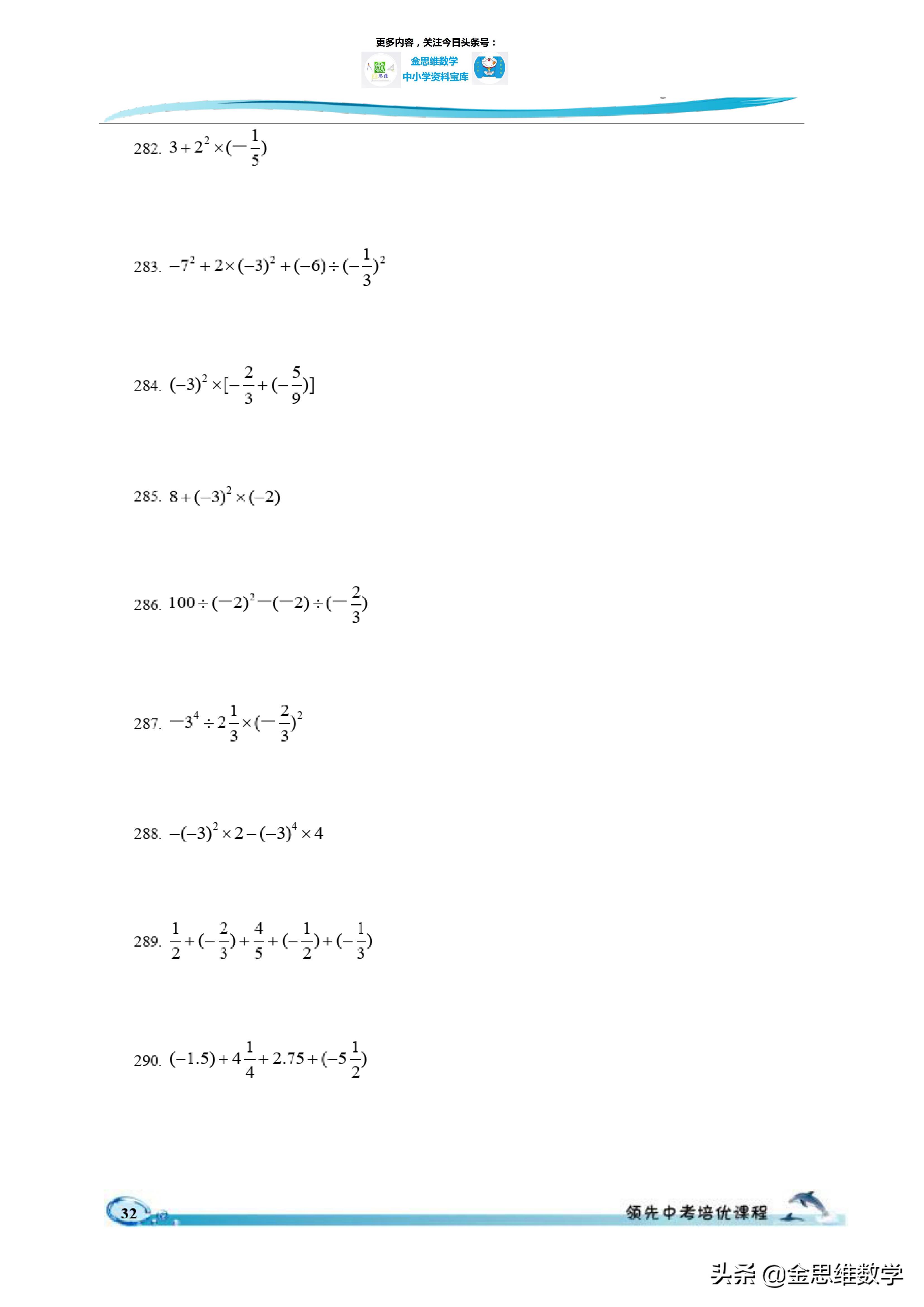
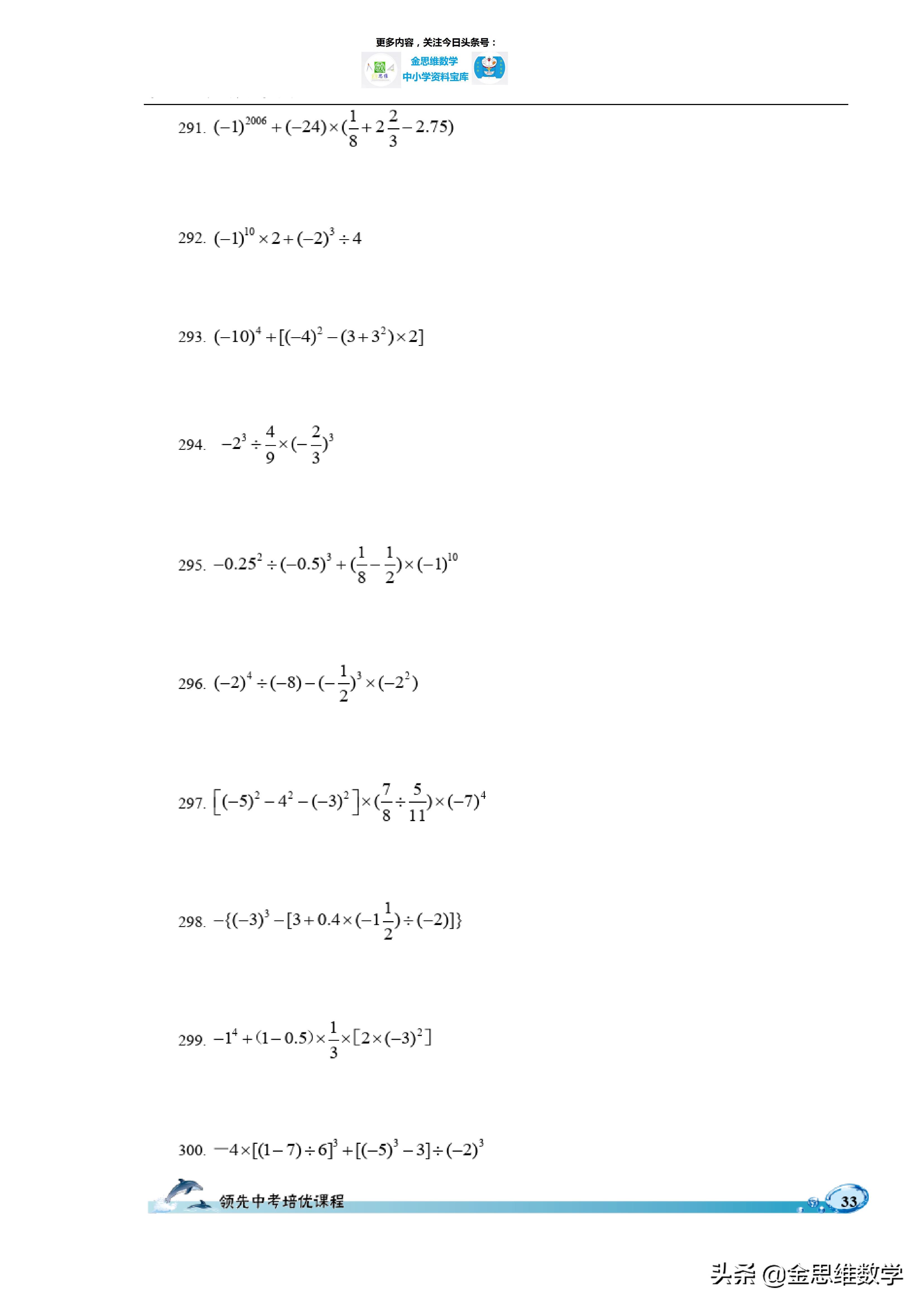
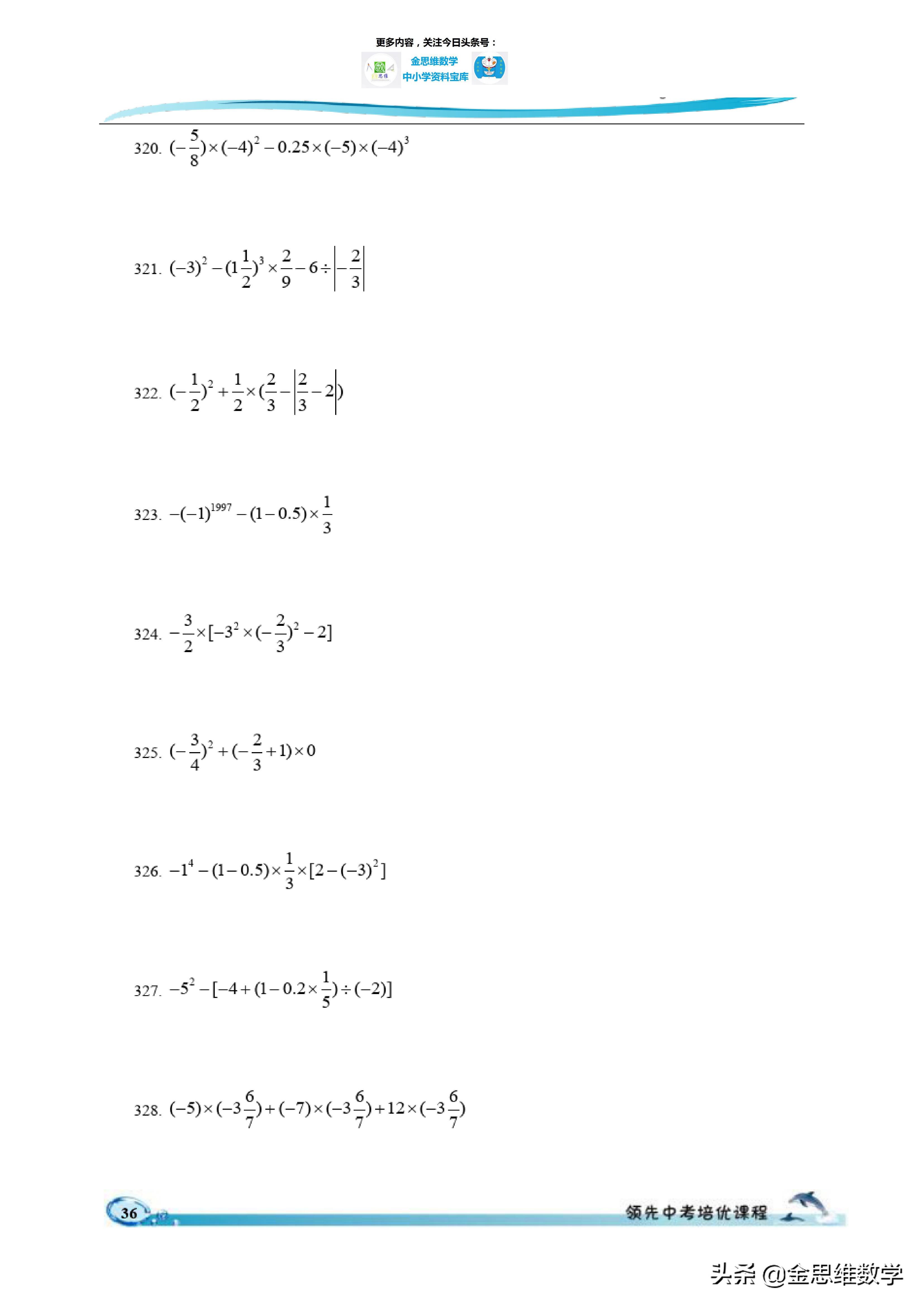
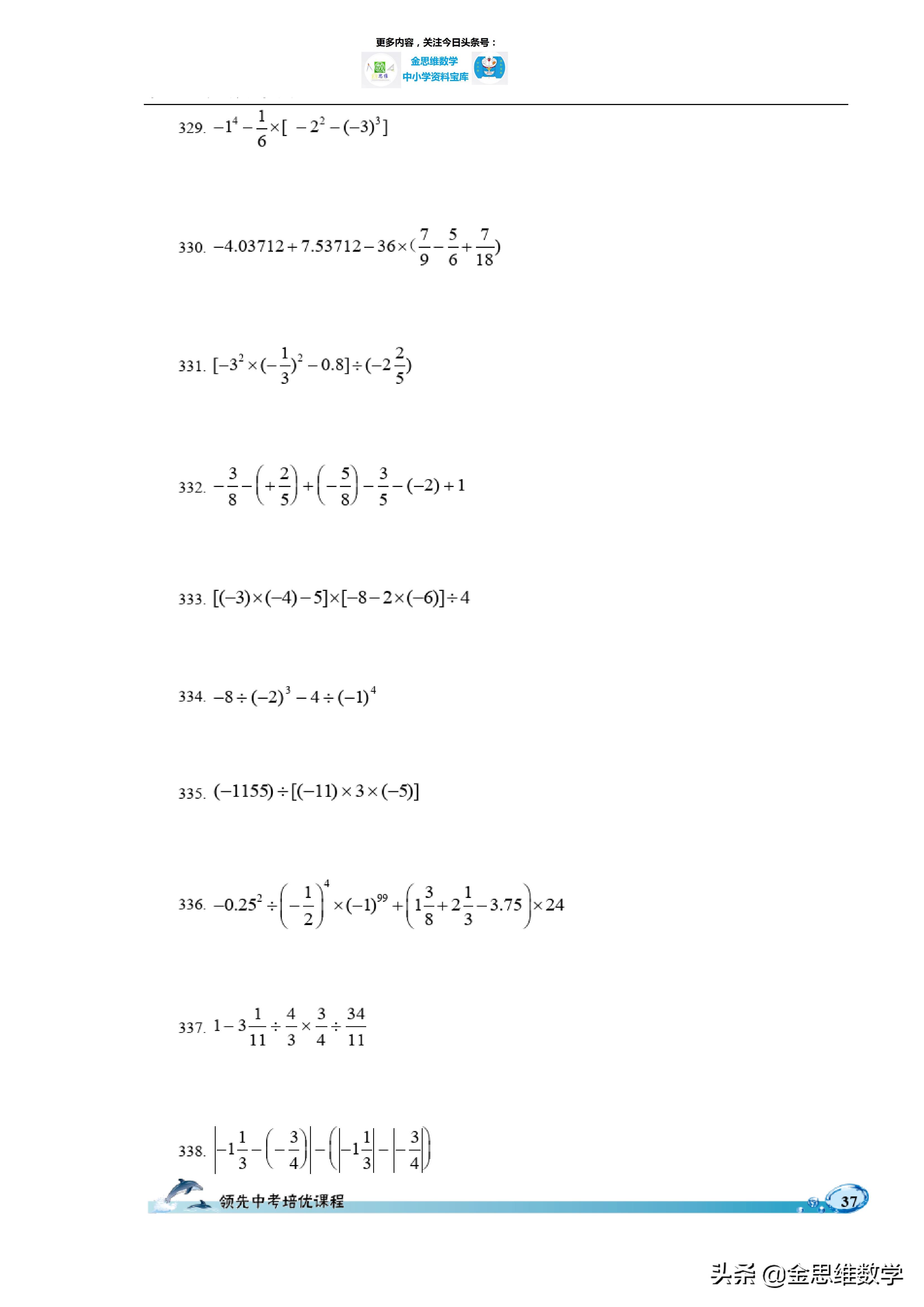
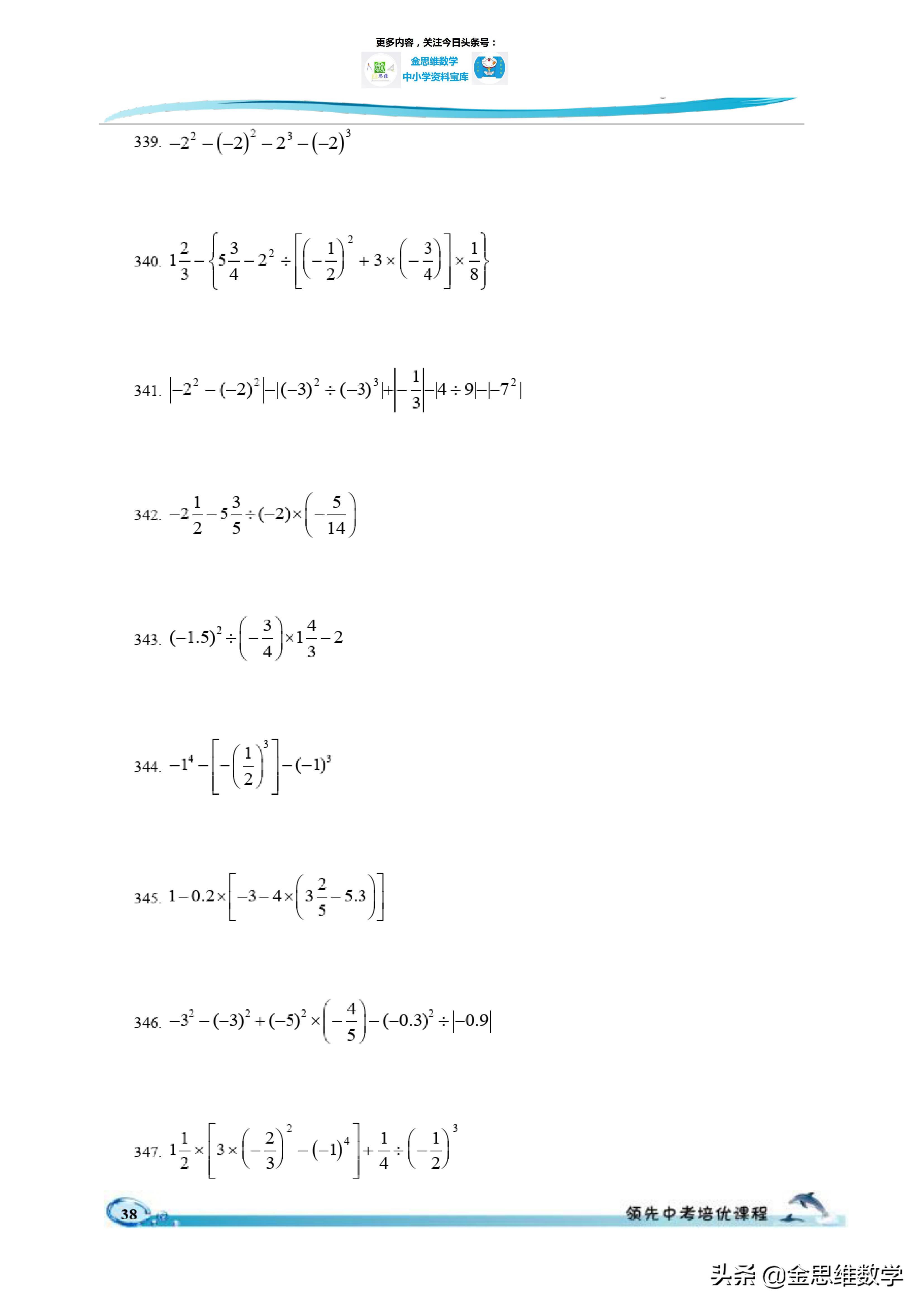
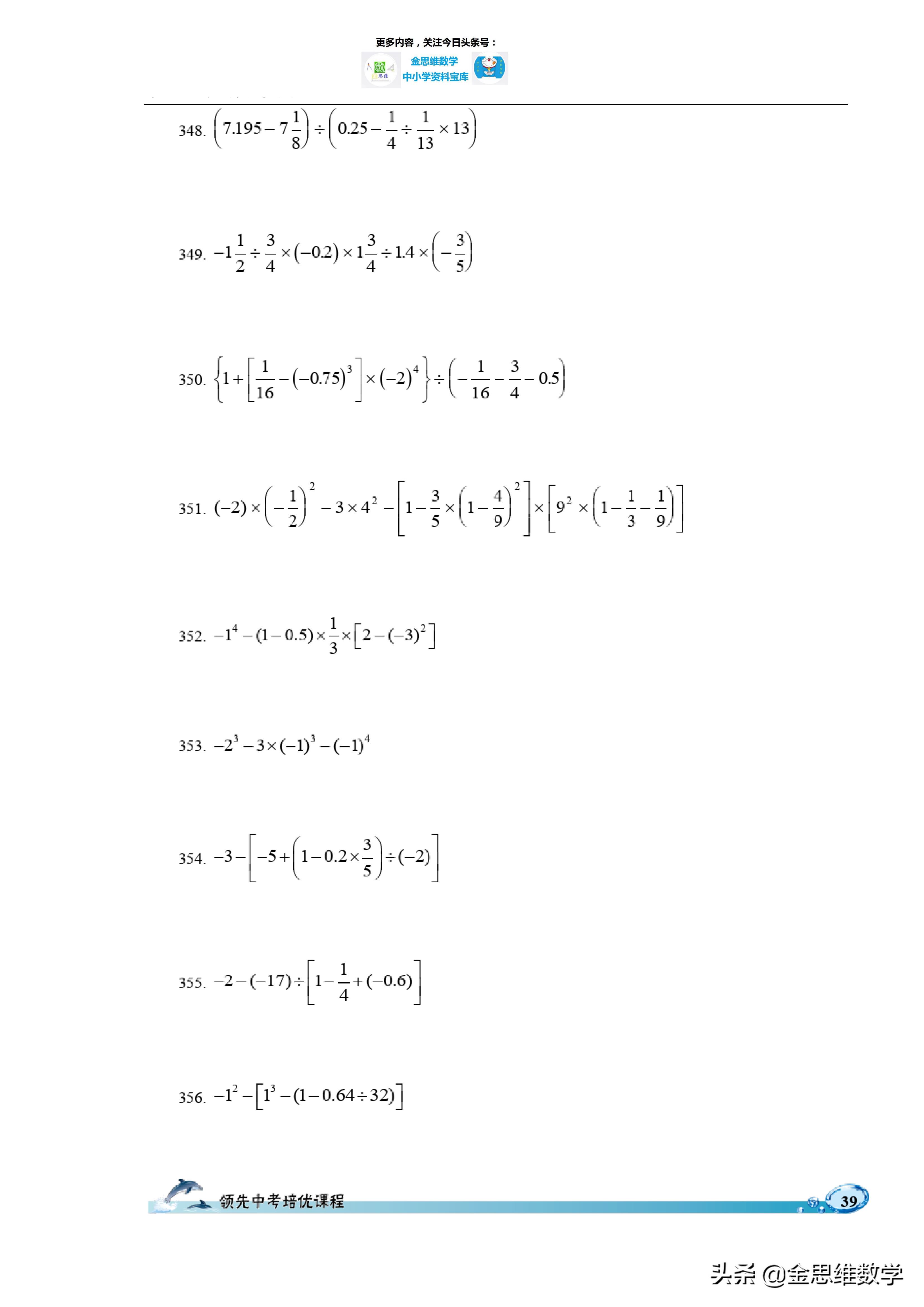
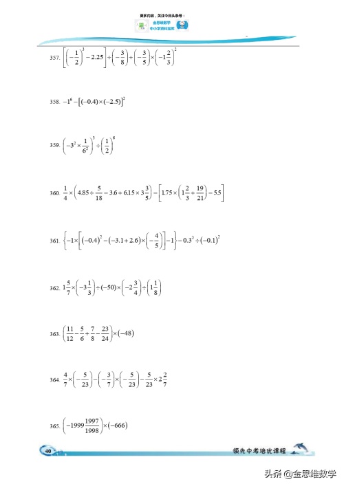
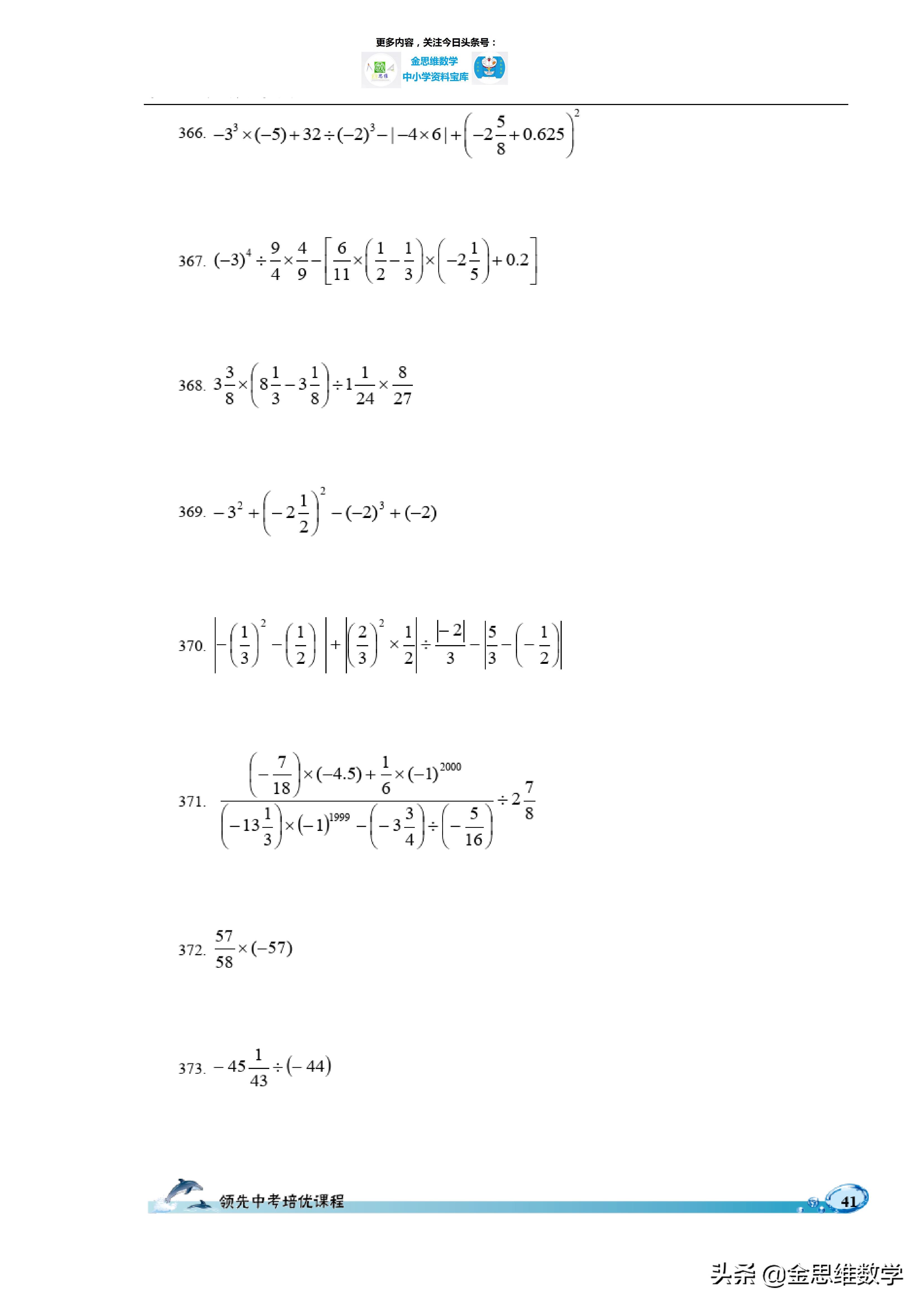
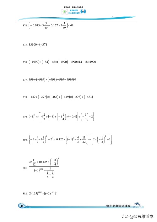
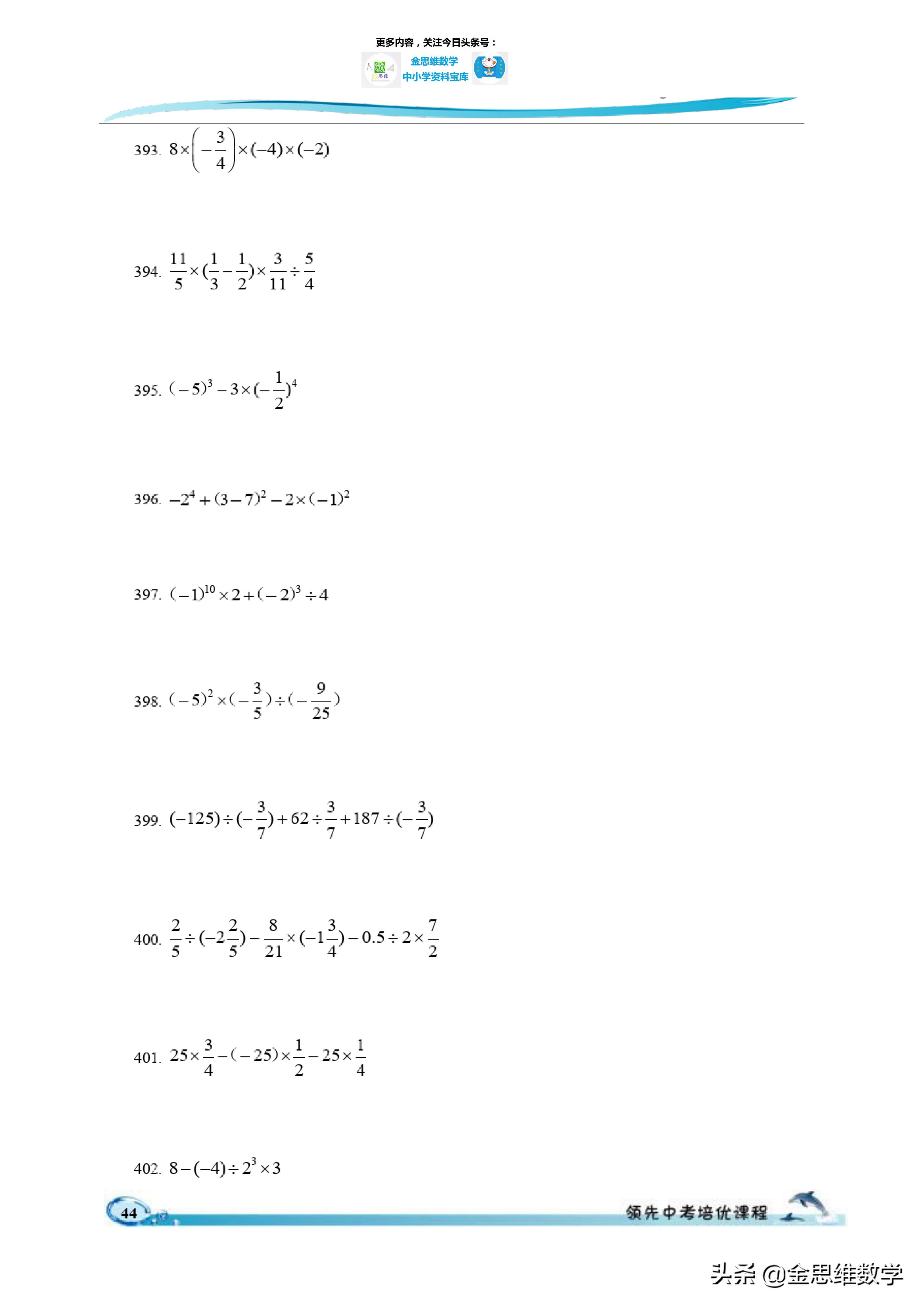
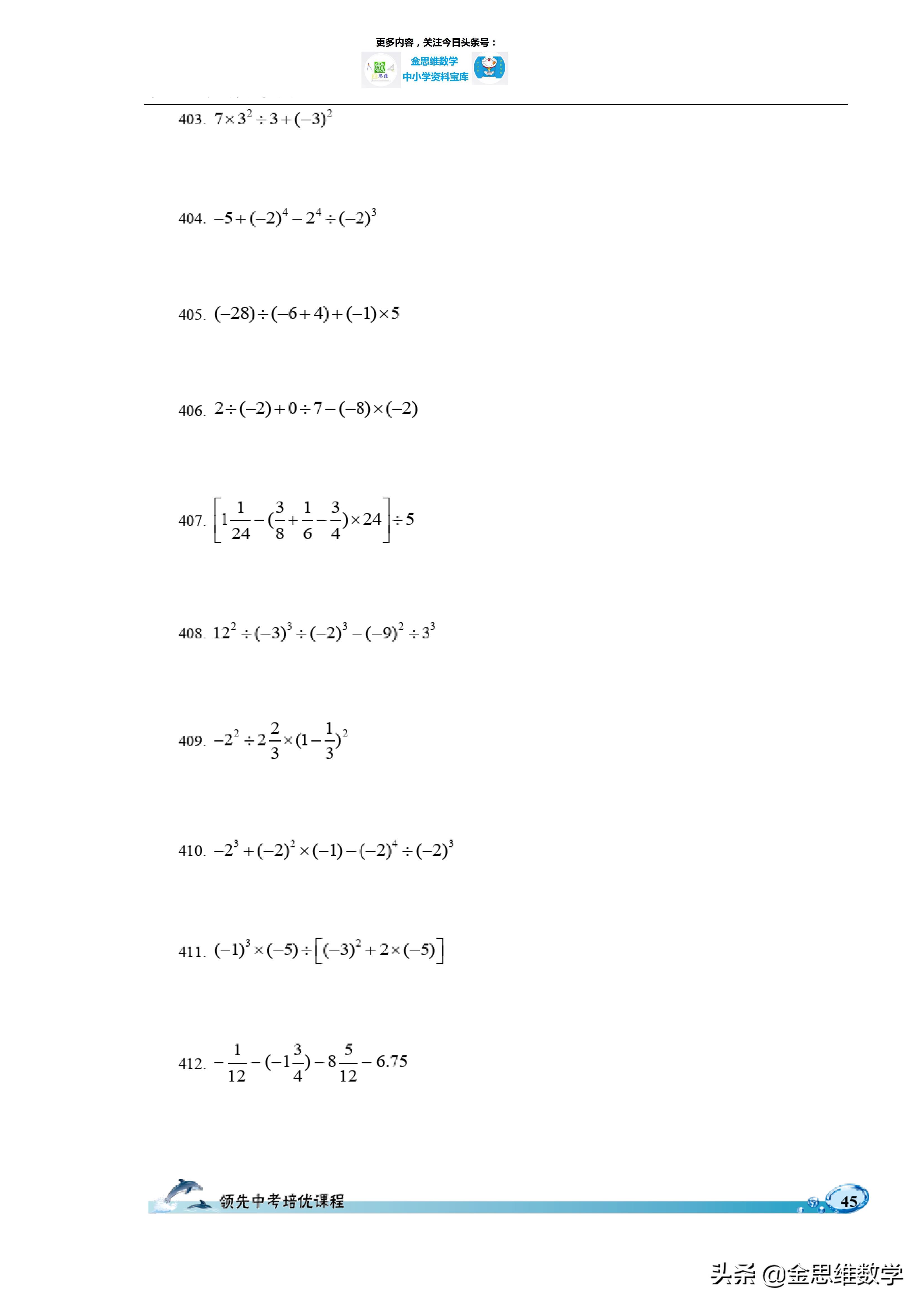
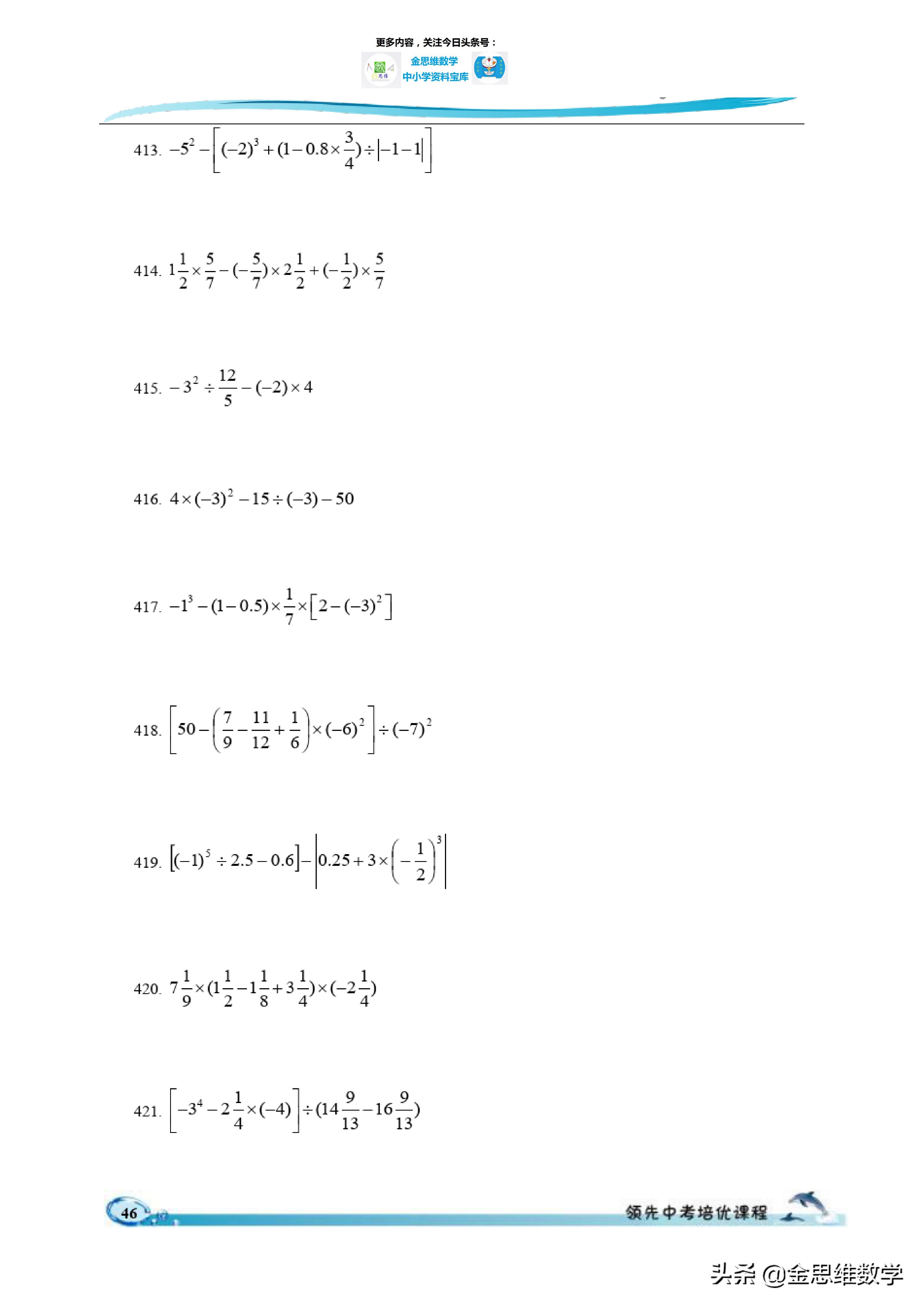
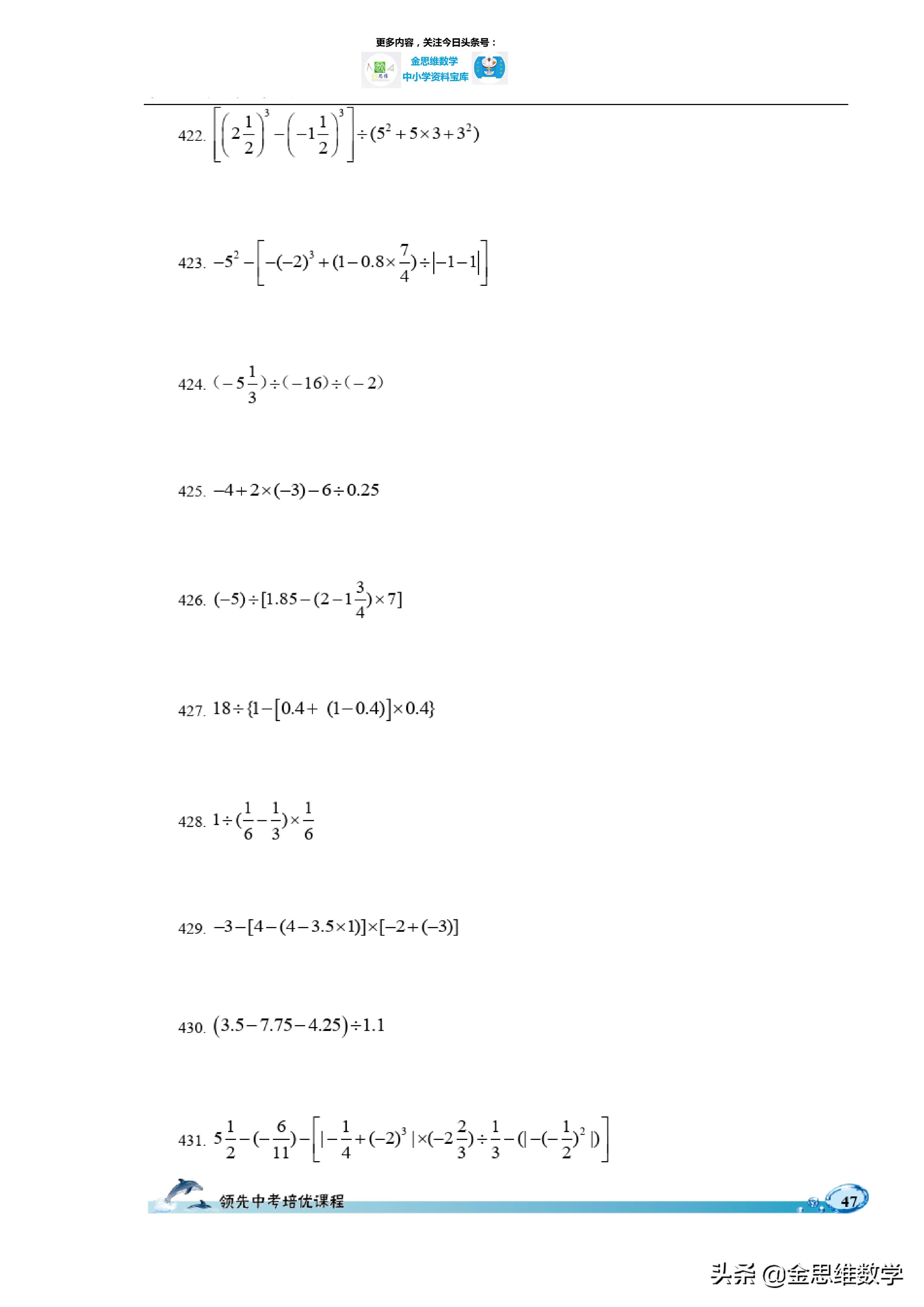
使用说明:本题集的制作初衷是为学员提供计算题目以便强化计算能力,建议每天做10-20道。
为什么初一数学的计算非常重要?
①初一第一次月考:80-90分(满分100分)与计算相关;
②初一第一次期中期末:7585分(满分100分)与计算相关。





























暂时分享这么多,每个题都有答案,做好可以找我对照一下哦,即将七年级的同学记得收藏。
相关标签:
-
- 河南十道美食
-
2025-04-02 12:16:24
-
- 陈雅婷因为曾是王思聪的前女友就让她小火了一把!
-
2025-04-02 12:14:09
-
- 杨蓉穿抹胸美出时尚新高,网友:可惜太矮了
-
2025-04-02 12:11:55
-
- 收银系统一套多少钱
-
2025-04-02 12:09:40
-
- 公司注册中注册资金采用认缴制,可以随意填写吗?
-
2025-04-02 12:07:25
-
- 凤姐晒邓超搞怪照调侃太美不敢看 昔日网红现状揭秘
-
2025-04-02 12:05:10
-
- 章莹颖遗体下落公布!凶手承认分尸三袋抛弃垃圾场,令人心碎
-
2025-04-02 12:02:56
-
- 榆次名人故事之李三娘
-
2025-04-01 15:07:57
-
- 闲鱼上二手手机回收一定可靠吗?
-
2025-04-01 15:05:43
-
- 时速200公里青日连尚未通车,时速350公里的青岛至日照高铁要来了
-
2025-04-01 15:03:28
-
- 你怎么看郭沫若的妻子于立群自杀?
-
2025-04-01 15:01:13
-
- 你以为耐克气垫只有Zoom吗?这些气垫你也需了解一番
-
2025-04-01 14:58:58
-
- 凤囚凰 霍璇以囚代兵将顾欢招入麾下,并派人调查顾欢的底细
-
2025-04-01 14:56:44
-
- LOL全英雄皮肤盘点推荐D38:沙漠死神内瑟斯 炼狱魔犬
-
2025-04-01 14:54:29
-
- 10本现言先婚后爱文:男女主从表面夫妻到相亲相爱,爱要包容理解
-
2025-04-01 14:52:14
-
- 3分钟教你开通头条号
-
2025-04-01 14:49:59
-
- 真相永远只有一个,《名侦探柯南》里不止是一部侦探动漫
-
2025-04-01 14:47:45
-
- 《射雕英雄传》梅超风虽然心狠手辣,却也是一位可怜人
-
2025-03-30 14:53:19
-
- 玄学是什么?
-
2025-03-30 14:51:04
-
- 趣味灯谜已就位,你准备好了么?
-
2025-03-30 14:48:50



适合60-80岁老人代步的4种电动车,不限年龄又能上路
76岁退休大妈,连续30年每天一杯沙棘原浆,揭秘沙棘原浆3大谎言